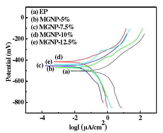
Figure 3-13 shows the polarization curves of modified graphite nanosheets/epoxy resin coatings with different contents in 3.5% NaCl solution. Table 3-6 is the calculation result of the polarization curve test of different content modified graphite nanosheets/epoxy resin coating.

Figure 3-13 Polarization curves of modified graphite nanosheet coatings with different contents in 3.5% NaCl solution
With the increase of the content of graphite nanosheets, the self-corrosion potential of the coating gradually increased, and the self-corrosion potential decreased when the content was too high.
When the content of modified graphite nanosheets is 10%, the self-corrosion potential of the coating reaches a maximum of -416mV, and the corrosion current density is as low as 0.032μA/cm2. Compared with pure epoxy coatings, the corrosion resistance of the coatings is significantly improved. Great improvement. Compared with the unmodified graphite nanosheet coating, the self-corrosion potential increased by 19mV, and the corrosion current density decreased by nearly 50%. It shows that although the modification of graphite nanosheets by the coupling agent is limited, it can balance the charge on its surface and improve its dispersion and stability in the coating.
