3NH YS4510 Raster Colorimeter Manual,OI
Related products
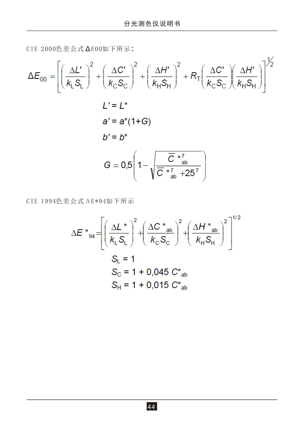
-
3NH YL4560 45 °/0 ° Non-contact Colorimeter Enhanced LED + UV Customizable caliber, automatic lifting45/0 (45 annular uniform illumination 0 ° reception); conforms to standard CIE No.15, GB/T 3978, GB 2893, GB/T 18833, ISO7724-1, ASTM E1164, DIN5033 Teil7, GB 2893, GB/T 18833Light spectrum LED light source, UV light sourceConcave grating spectroscopySE -
CHNSPEC CS-660A Colorimeter is suitable for color scheme and coating, Spinning & weaving, plastic, food, building materials, etcD/8 (Scattering Light source, 8 degree Viewing Angle), SCI (including specular reflection component)/SCE (excluding specular reflection component) synchronous measurement functionDual Path Array SensorsA,C,D50,D55,D65,D75,F1,F2,F3,F4,F5,F6,F7,F8,F9,F10,F11,F12,CWF,U30.DLF,NBF,TL83,TL84.U35¥34600.0SE -
CHNSPEC CS-411 Economic version spectroscopic Colorimeter 4mm caliberPea greenD/8-SCI + SCE, (diffuse illumination, 8 ° direction reception), including specular reflected light to remove specular reflected light)Standard deviation Delta E * ab ≤ 0.04; Average: dE * ab ≤ 0.05; MAX Maximum: dE * ab ≤ 0.08¥4000.0SE -
CHNSPEC CS-828 Image Colorimeter Spinning & weaving yarn Complex image Color measurementReflection: d/8 (diffuse illumination, 8 ° direction reception) SCI (including specular reflected light)/SCE (excluding specular reflected light) simultaneous measurement.CIE No. 15, GB/T 3978, GB 2893, GB/T 18833, ISO7724/1, DIN5033 Teil7, JIS Z8722 Condition C, ASTM E1164, ASTM-D1003-07Silicon photodiode array¥359800.0SE -
IWAVE WS2300 Colorimeter φ 11mmCIE recommended lighting reception method: d/8CIEL*a*b*,CIEL*C*h,HunterLabA,D50,D65,F1,F4,F11(TL84)¥13800.0SE -
3NH NS810 Liquid Colorimeter 8mm with Versatile Test KitD/8 ° (diffuse reflection uniform illumination 8 ° reception); in line with standard CIE No.15, GB/T 3978.F58mmCombination LED light source¥19600.0SE -
CHNSPEC CS-421 professional version Colorimeter 4mm caliberDai QingD/8-SCI + SCE, (diffuse illumination, 8 ° direction reception), including specular reflected light to remove specular reflected light)Standard deviation Delta E * ab ≤ 0.03; Average: dE * ab ≤ 0.04; MAX Maximum: dE * ab ≤ 0.06¥9800.0SE -
3NH PS2060 handheld Colorimeter φ 4mm/φ 8mm/: 1x3mm three caliberD/8 (diffuse illumination, 8 ° direction reception), SCI/SCE (including specular reflection/removing specular reflection), conforms to CIE No. 15, GB/T 3978, GB 2893, GB/T 18833, ISO7724-1, ASTM E1164, DIN5033 Teil7Light spectrum LED Light source, UV Light sourceΦ40mm¥7800.0SE -
IWAVE SY3020 Colorimeter, MeasurementΦ8mmSCI (including specular reflection)Light spectrum LED¥3980.0SE -
EVERFINE PSC-40H Portable Colorimeter Repeatability < 0.02D/8°0-175%CIELabCh, CIELab, CIELCh, HunterLab, XYZ, CIELuv, CIE1960UCS, CIE1976UCS, yellowness index, light shade index, luminance factor, whiteness index, homochromatic index MI.¥36800.0SE
Recommended for more manual
- 13NH YL4560 Non-contact Colorimeter Manual
- 2CHNSpec CS-660B(6mm) Colorimeter Manual
- 33NH YL4560 Non-contact Colorimeter Manual
- 43NH YS3010 + Multifunctional Test Component Colorimeter Manual
- 53NH MS3005 Colorimeter Manual
- 6CHNSpec CS-660A Colorimeter Manual
- 7X-rite Ci60 Spectrophotometer Manual
- 83NH YS4510 Raster Colorimeter Manual
- 9CHNSpec CS-412 Spectroscopic Colorimeter Manual
- 10CHNSpec CS-650B Xenon arc Colorimeter Manual
